Class 11 Accountancy Ncert Book (Chapter 2)
Ncert Books Class 11 Accountancy – Chapter 2 – Theory Base of Accounting – Pdf Download
Ncert Book for Class 11 Accountancy Chapter-wise – Free PDF Download
Download the latest version of Ncert Books Class 11 Accountancy – Chapter 2 PDF at Utopper. It provides step by step Solution PDF. You can download Ncert Solutions with a free PDF download option, which includes chapter wise solutions. All the questions in RS Aggarwal Solutions have been solved and explained by expert mathematics teachers as per the CBSE Board guidelines. By studying these Maths Solutions, you can easily get good marks in the CBSE board exams.
Ncert Books Class 11 Accountancy Chapter 2 – Theory Base of Accounting























Class 11 Accountancy Ncert Book
Chapter 1 – Introduction to Accounting
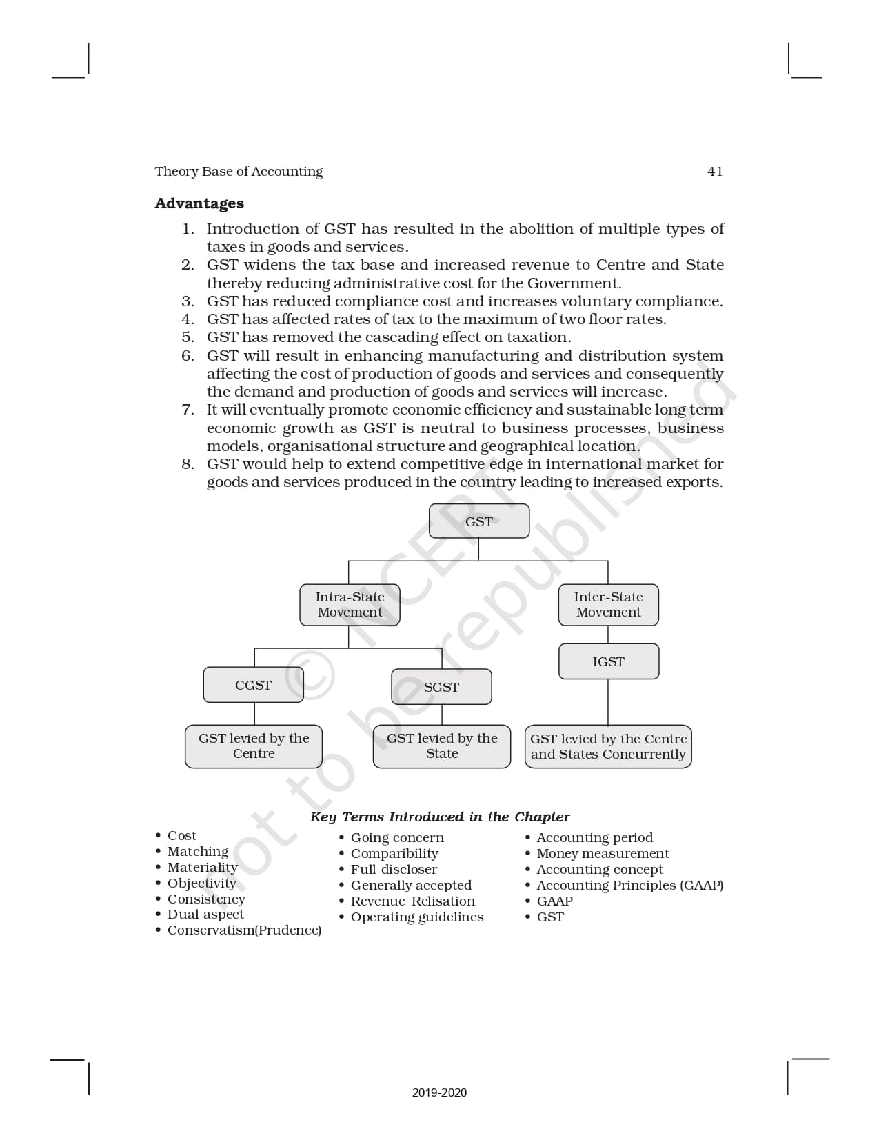
Chapter 2 – Theory Base of Accounting
Chapter 3 – Recording of Transactions I
Chapter 4 -Recording of Transactions II
Chapter 5 – Bank Reconciliation Statement
Chapter 6 – Trial Balance and Rectification of Errors
Chapter 7 – Depreciation, Provisions and Reserves
Chapter 8 – Bills of Exchange
Chapter 9 – Financial Statements – I
Chapter 10- Financial Statements -II
Chapter 11- Accounts from Incomplete Records
Chapter 12- Applications of Computers in Accounting
Chapter 13- Computerised Accounting System

Ncert Book for Class 11 Accountancy Chapter-wise – Free PDF Download
Practising sums from RS Aggarwal will offer you an honest grip over the topics within the syllabus and boost your confidence to aim the examinations. The continuous practice also will increase your overall speed, which is extremely important within the end of the day . The RS Aggarwal Solutions for Class 10 Maths Book in pdf download option can be used by all and can be downloaded for free simply by registering. This material is compiled by our team of highly experienced and qualified teachers who have knowledge of the NCERT guidelines and also understand the nitty-gritty of this subject.

The students will be able to download the RS Aggarwal Class 10 Solutions PDF to kickstart the preparations of their board examinations. the idea paper of Class 10 Mathematics is for 80 marks and students need to finish the paper during a time constraint of three hours. the problem of the paper increases as you progress further within the question paper.
Some Units have a better weightage than others. Unit 1 and a couple of , Sets and Functions and Algebra respectively have the very best weightage within the examination. it’s advisable students prepare these Units first as they’re going to encounter maximum problems from these Units.
To give you an entire and clear picture of the syllabus of Class 11 Accountancy Ncert Book Pdf
- Chapter 1 – Introduction to Accounting
- Chapter 2 – Theory Base of Accounting
- Chapter 3 – Recording of Transactions – I
- Chapter 4 – Recording of Transactions – II
- Chapter 5 – Bank Reconciliation Statement
- Chapter 6 – Trial Balance and Rectification of Errors
- Chapter 7 – Depreciation, Provisions and Reserves
- Chapter 8 – Bills of Exchange
- Chapter 9 – Financial Statements – I
- Chapter 10- Financial Statements -II
- Chapter 11- Accounts from Incomplete Records
- Chapter 12- Applications of Computers in Accounting
- Chapter 13- Computerised Accounting System
Benefits of Ncert Books Class 11 Accountancy
- The solutions are written as per the CBSE guidelines to assist you score well in your examinations.
- These answers are prepared by the experts of Utopper who have more years of teaching experience.
- These solutions are written during a simple manner to maximize retention and improve understanding of the concepts.
- Solutions of every chapter are well categorized to enhance the convenience of use during your revisions.
FAQ ( Frequently Asked Questions )
1. Can I Download the Class 1 Ncert Books PDF ?
Ans – Yes , You can Download the Ncert Books Directly From the Website of Utopper
2. How To Download the Ncert Books Pdf ?
Ans – Please click the Class of which you want to Download the Ncert Books and there is direct pdf Links Given on Our Website
3. Is Ncert Books Difficult ?
Ans – NCERT Books are designed in such a way that it covers the basic knowledge of your syllabus. It’s every line consist of deep and useful meaning. If you complete ncert books it would be very helpful many other extra refernce books have taken their bases and references from ncert .
4. Why NCERT Books are Important ?
Ans – NCERT Books Strictly follows the CBSE curriculum and it Clears all the fundamental concepts of students by offering a number of problems to practice and it is BEST to score Good Marks in CBSE Board Exam.
