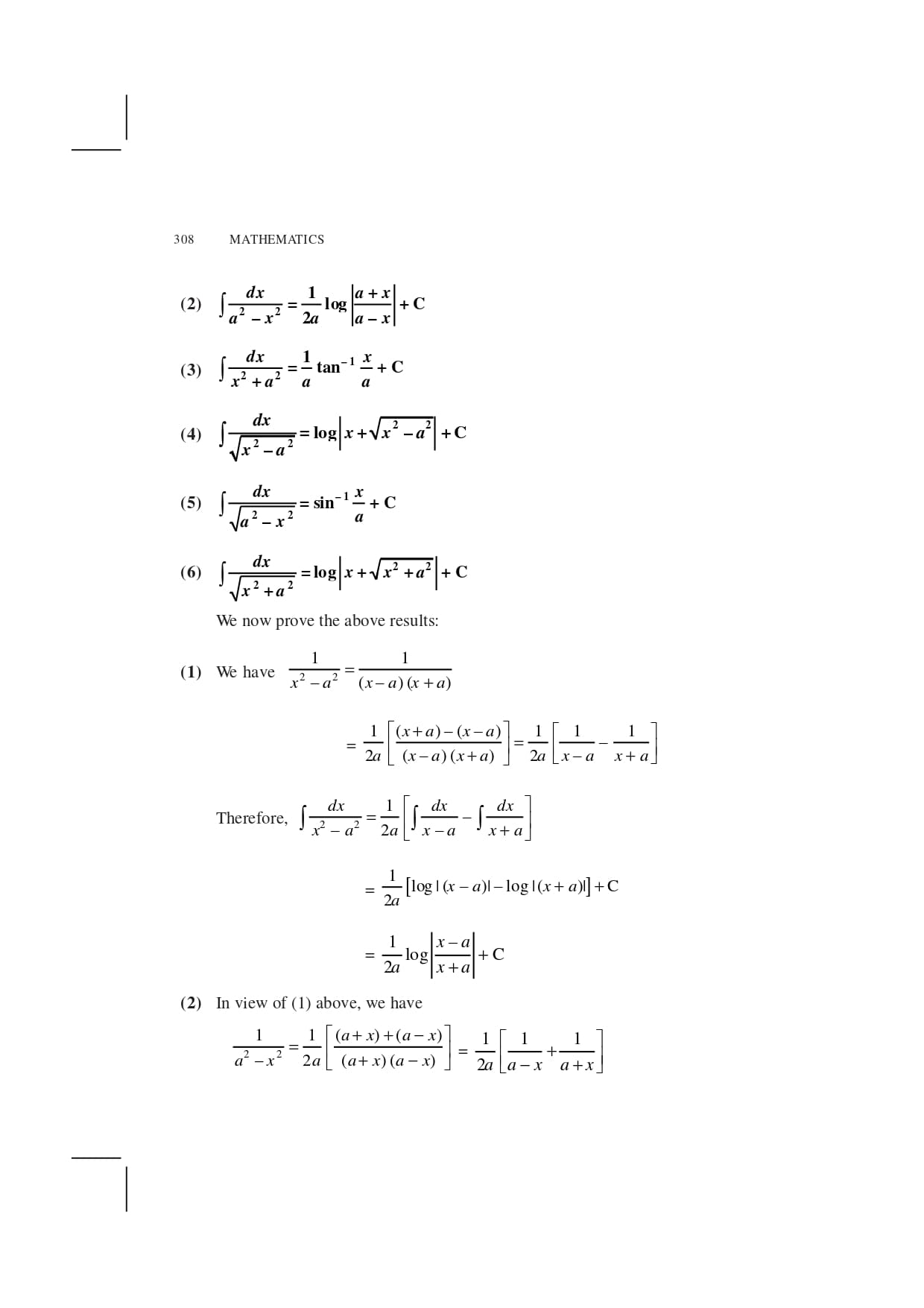
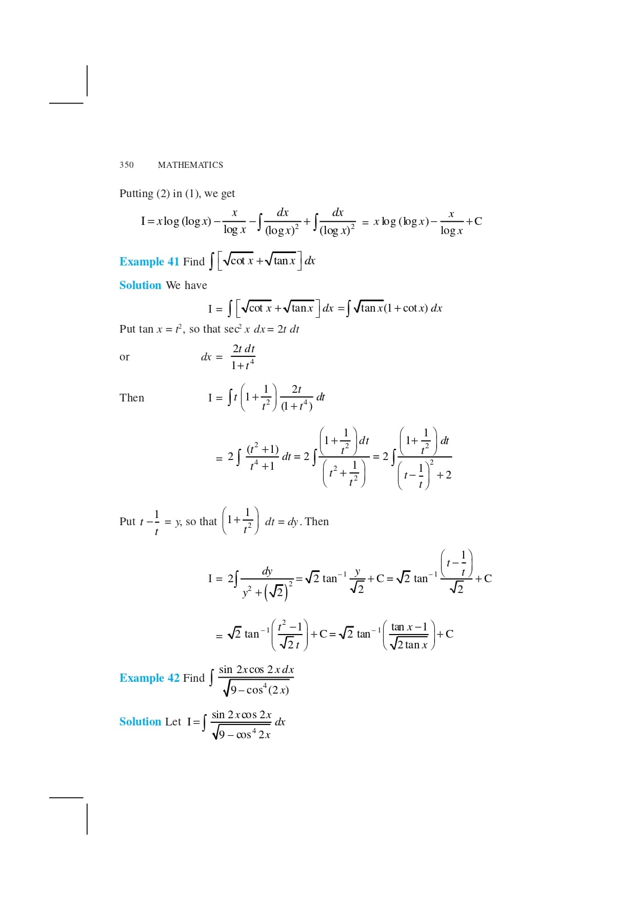
NCERT Book for Class 12 Maths Chapter 7 Integrals
NCERT Book for Class 12 Maths Chapter 7 Integrals PDF Download
Class 12 Math Ncert Books Chapter 7 Integrals Latest PDF
NCERT Book for Class 12 Maths Chapter 7 Integrals is available for reading on this page. Students in Class 12 or preparing for a study based on Class 12 Mathematics might refer to NCERT textbooks for preparation. Digital Ncert Books for Class 12 Maths pdf are always convenient when a physical copy is unavailable.
Here you can read Chapter 7 Integrals of the NCERT Book for Class 12 Mathematics. You can also find links to Class 12 Maths Notes, NCERT Solutions, Important Questions, Previous Papers, etc. following each chapter. The important study material for Chapter 7 Integrals from the Ncert Books for Class 12 may be found below.
In order to master Chapter 7 Integrals, students must comprehend not only the fundamental concepts but also the more complex material. These NCERT Solutions for Class 12 Maths can help students prepare for their first exam in such a way that they will find even the most challenging problems in this chapter to be trivial. So, to make things easier for students, we’ve made PDFs of Class 12 Maths NCERT Books available in both English and Hindi. These PDFs are lined up in the table below.
- Ncert Books for Class 12 Maths in English
- Ncert Books for Class 12 Maths in Hindi
Ncert Books For Class 12 Maths Chapter 7 Integrals – Read Online









































































NCERT Book for Class 12 Maths Chapter 7 Integrals Download
In this chapter, “NCERT Books for Class 12 Maths Chapter 7 Integrals,” we learn how to calculate an integral, which is called “integration.” This is used to find areas, volumes, distances, and other useful quantities. Integrals are related to integrals that are usually definite. Integration is one of the two most important types of calculus in Math. When algebra and geometry are used, the idea of a limit is used.
Ncert Books Class 12 Maths Chapter wise PDF
- Chapter 1: Relations and Functions
- Chapter 2: Inverse Trigonometric Functions
- Chapter 3: Matrices
- Chapter 4: Determinants
- Chapter 5: Continuity and Differentiability
- Chapter 6: Application of Derivatives
- Chapter 7: Integrals
- Chapter 8: Application of Integrals
- Chapter 9: Differential Equations
- Chapter 10: Vector Algebra
- Chapter 11: Three Dimensional Geometry
- Chapter 12: Linear Programming
- Chapter 13: Probability
Key Features of NCERT Books for Class 12 Maths Chapter 7 Integrals
The students will be able to Read Online all the chapters from Ncert Books Class 12 Math in order to assist them in their preparations for the Class 12 Board exams. The advantages of Class-12 Mathematics Books in Pdf format for this is as follows:
- Much Better than Reference Books.
- Clear Basic Concepts.
- Many Examples and Problems to Practice.
- Strictly follows the CBSE/Ncert Syllabus.
- Best for the CBSE board exams.

How to Download CBSE/ Ncert Math Book for the 12th Class?
Follow these steps to get the Class 12 NCERT Mathematics PDF from the official NCERT website:
- First, go to ncert.nic.in/textbook.php, which is the site for NCERT Books.
- Step 2: Choose “Class XII” from the drop-down menu in the “Class” field.
- Step 3: Click on “Select Subject” and choose “Mathematics” from the menu that appears.
- The fourth step is to choose the part you want to download.
- Step 5: Click the “GO” button. Step 6: Your NCERT PDF for Class 12 Maths will be downloaded.
- On the left side of the screen, choose the chapter you want to download and then download it.
NCERT Solutions for Class 12 Maths
After reading the chapter, you can consult our NCERT Solutions for Class 12. Experts provide step-by-step solutions to all practice problems to help you prepare for the examination.
Class 12 Study Material – Revision Notes, Important Questions, Previous Question Papers
To further prepare for the Class 12 Maths topic, utopper.com provides free Revision Notes, Important Questions, and Previous Year Question Papers. You can also take an online test to assess your degree of preparedness.

FAQ ( Frequently Asked Questions )
Q.1 What are the key features of NCERT Books for Class 12 Maths Chapter 7?
Ans – The NCERT textbooks exercise are solved by subject-matter specialists with extensive knowledge of the key ideas. Each stage is discussed in straightforward terms to facilitate students’ comprehension of the process for tackling complicated problems. The solutions are solved in a step-by-step fashion according to the mark weighting of the CBSE examination.
Q.2 Why one should read NCERT Books for Class 12 Maths Chapter 7?
Ans – Students can self-evaluate their knowledge gaps with the aid of NCERT Textbooks for Class 12 Maths Chapter 7, and also develop a deeper understanding of mathematical concepts.
Q.3 Is Ncert Books Difficult?
Ans – NCERT Books are designed in such a way that it covers the basic knowledge of your syllabus. It’s every line consist of deep and useful meaning. If you complete ncert books it would be very helpful many other extra reference books have taken their bases and references from ncert.
Q.4 Why NCERT Books are Important?
Ans – NCERT Books Strictly follows the CBSE curriculum and it Clears all the fundamental concepts of students by offering a number of problems to practice and it is BEST to score Good Marks in CBSE Board Exam.
